在高速旋转情况下,随着刀具外径增加、质量加大,刀具系统的不平衡量会随之放大,并产生较大的离心力,引起机床和刀具的振动,产生不均匀的切削力。这样不仅影响被加工工件的加工精度和表面质量,还会影响机床主轴轴承和刀具的不规则磨损,迅速降低其使用寿命。液压涨套的使用,可以消除轴孔间隙,在加工时保证刀具动平衡的精度。
刀具在做动平衡时也必须消除轴孔的间隙,否则刀具在使用时其动平衡精度会大打折扣。国内还没有专门对这种大直径、带孔、多齿PCD盘式铣刀的动平衡机生产。通过与专业厂家的合作,定制生产了一种专用动平衡机(见图),可以较好地解决孔轴间隙问题,并支持在线检测和在线去重的功能。

以一把型刀的动平衡来为例,刀具质量w =7kg,工作转速n=8000r/min,刀具外圆φ260mm。要求的平衡精度为G2.5,在半径r=100mm 的位置钻孔进行动平衡,采用单面平衡。按照刀具实际使用的装夹方向来进行装夹。在动平衡机软件界面输入去重半径和许用剩余不平衡量,通过软件做了夹具补偿之后,进行在线检测。
由以上给出的参数可以算出转子的允许不平衡度为

采用单面平衡,则允许的剩余不平衡量U/每面为

因此在平衡环面上,不平衡量在0.208g 以下就可以满足G2.5 的要求。而在实际动平衡中,要求在0.2g 以下即满足要求。
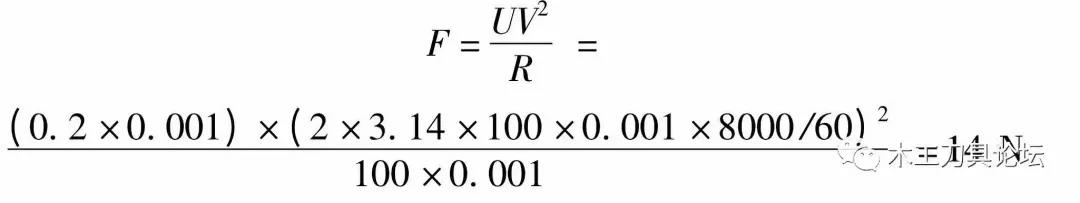
在该平衡精度下,可以计算出刀具实际加工过程中的离心力F 为

查阅相关资料,该离心力没有超过地板开槽线机床主轴轴承的许用载荷。经实践证明,该刀具动平衡精度能够满足高速地板生产线加工的要求。
文章摘自:高速切削加工中PCD木工成型铣刀的设计及应用
杨辉全, 骆明涛, 刘华, 方芳, 钟育恒







